Notice
Recent Posts
Recent Comments
Link
거북이처럼 코딩해도 괜찮으려나
형식언어 - 어휘 분석 (토큰) 본문
728x90
수업 일자 : 2022/04/29 (금)
수업 일자 : 2022/05/03 (화)
4.2 토큰 인식
- -> 토큰 구조의 표현 - 정규언어 : 이걸 분석하는게 Scanner
-> 프로그래밍 언어의 표현 - CFG : 이걸 분석하는게 Parser
- Scanner 만들기 단계
- 토큰의 구조를 정규 표현으로 설명합니다.
- 또는 토큰에 대한 전환 다이어그램을 직접 설계합니다.
- 도표에 따라 스캐너를 프로그래밍합니다.
- 또한, 우리는 규칙적인 언어 이론을 통해 스캐너의 동작을 검증한다.
- Character classification

4.2.1 Identifier Recognition

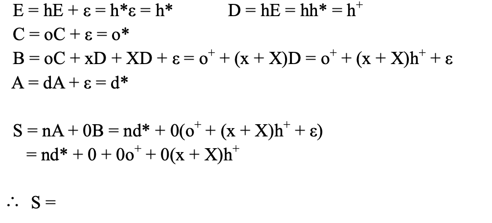
4.2.2 Integer number Recognition
- 형태 : 10진수, 8진수, 16진수로 구분되어진다.
10진수 : 0이 아닌 수 시작
8진수 : 0으로 시작, 16진수 : 0x, 0X로 시작 - Transition diagram

- Regular grammar

- Regular expression

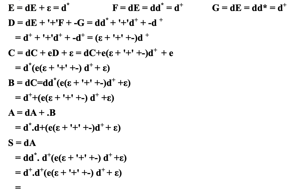
4.2.3 Real number Recognition
- 형태 : 고정 소숫점 number & 부동 소숫점 number
- Transition diagram

- Regular grammar

- Regular expression


4.2.4. String Constant Recognition
4.2.5. Comment Recognition
'코딩 > 형식언어' 카테고리의 다른 글
| 형식 언어 - 5.Context-Free 문법 (0) | 2022.05.10 |
|---|---|
| 형식언어 - 어휘분석기의 구현 (0) | 2022.05.08 |